Automated Price Reserve
You are referring to the Legacy version of KyberSwap docs.
For the most updated information, please refer to:
In this guide, we will learn how to configure and deploy an Automated Price Reserve. Please note that the APR is centrally managed by the team setting it up and does not allow permissionless contribution. Should you wish to deploy or contribute liquidity to a permissionless AMM, kindly visit our DMM guide.
Introduction
The automated reserve was created with ease of maintenance as a top consideration. For the automated price reserve model, you rely on the smart contract and its predefined algorithm to automatically provide rates for the token being served liquidity for. In this model, you don't have gas, server, or development costs, but there is a learning curve and inability to control the rates in creative ways. This automated model only supports one token for one reserve. If you need to list another token using this model, another automated reserve must be deployed.
Moreover, the automated reserve was also designed to help discover the price of a newly created token that is previously not available in any centralized or decentralized exchange. Through the interaction of buyers and sellers, an estimated market price is discovered based on the market's sentiment at a point in time.
The automated reserve consists of only one component: an on-chain component of your reserve smart contracts that manages prices based on inventory.
The on-chain component has smart contracts that store your tokens, provide conversion rates, and swap your tokens with users. Since the smart contracts uses a pre-defined trading strategy based on initial parameters, the automated reserve automatically calculates the conversion rate. As a reserve manager, your primary purpose is to make sure that your automated reserve's ETH and token inventory is replenished when depleted. In the event of reserve depletion, you will need to deposit more ETH or tokens, and to set the parameters once again.
Points to Note
With this in mind, the automated reserve was designed with various parameters to help secure your funds.
Prices are automatically updated based on a pre-defined algorithm as trades occur.
A single buy or sell trade in ETH quantity does not go beyond the allowed max quantity cap parameter.
Limited list of destination withdrawal addresses to prevent the operator account (hot wallet) from withdrawing funds to any destination address (if this account is compromised).
An automated price reserve can only support one token. If another token needs to be supported, another automated price reserve needs to be deployed.
Reserve Deployment and Setup
Step 0: Clone Repo
Step 0: Clone RepoCreate a local directory, clone the master branch of our reserves smart contracts repo and install necessary dependencies. Yarn is used as the package manager, but npm / npx can be used too.
git clone https://github.com/KyberNetwork/kyber_reserves_sc.git
cd kyber_reserves_sc
yarn install
yarn compileStep 1: Specifying Settings
Step 1: Specifying SettingsImporting Private Key and Provider API
We use the Buidler environment for deployment. Create a .env file in the root directory with the following settings:
INFURA_API_KEY=********************************
PRIVATE_KEY=0x****************************************************************You can also specify other node provider API keys as well (eg. Alchemy, Metamask). Note that this means editing the .hardhat.config.js file too.
Navigate to the ./deployment/apr directory and open apr_input.json, where you will the settings you have to define.
{
"tokenAddress": "0x4E470dc7321E84CA96FcAEDD0C8aBCebbAEB68C6",
"whitelistedAddresses": ["0x5bab5ef16cfac98e216a229db17913454b0f9365"],
"reserveAdmin": "0xBC33a1F908612640F2849b56b67a4De4d179C151",
"reserveOperators": ["0x5bab5ef16cfac98e216a229db17913454b0f9365"],
"pricingOperator": "0x5bab5ef16cfac98e216a229db17913454b0f9365",
"outputFilename": "apr_reserve_deployment_details.json"
}tokenAddress
Token address on public testnets / mainnet. For local testnet environment, the deployer script can do token deployments as well, so you can ignore this field.
whitelistedAddresses
Addresses that reserve operators can withdraw ETH and tokens to
reserveAdmin
Handles infrequent, manual operations like enabling trades on the reserve, and withdrawing funds to any account. Typically a cold wallet
reserveOperators
Used for withdrawing funds from the reserve to whitelisted addresses (e.g. when selling excess tokens in the open market. Typically hot wallets, and more than 1 operator is allowed
pricingOperator
Used to set token prices whenever a reserve rebalance is needed. Recommended to be 1 of the reserve operator addresses
Step 2: Deploying the contracts
Step 2: Deploying the contractsThe contracts to be deployed are the reserve and pricing contracts:
KyberReserve.sol: The contract has no direct interaction with the end users (the only interaction with them is via the network platform). Its main interaction is with the reserve operator who manages the token inventory and feeds conversion rates to Kyber Network's contract.LiquidityConversionRates.sol: Provides the interface to set the liquidity parameters and the logic to maintain on-chain adjustment to the prices.
Run the command
yarn hardhat deployApr --network ropsten --network-address 0x920B322D4B8BAB34fb6233646F5c87F87e79952bFor more information on the arguments, run yarn hardhat deployApr help.
Step 3: Test Deposits And Withdrawals
Step 3: Test Deposits And WithdrawalsDeposits
Depositing funds into your reserve is easy. You can transfer ETH and tokens to your reserve contract from any address, like how you would with transferring funds for any ethereum wallet.
Withdrawals
Only authorized accounts have the right to withdraw tokens from the reserve.
The reserve admin can call the
withdrawEtherandwithdrawTokenfunctions to withdraw tokens to any address.The reserve operator can only withdraw ether and tokens to whitelisted addresses by calling
withdrawThe reserve admin can add / remove whitelisted address by calling
approveWithdrawAddress.
Note: It is recommended that you perform test deposits and withdrawals before proceeding to the next step.
Step 4: Setting the liquidity parameters
Step 4: Setting the liquidity parametersThe reserve manager needs to decide on the initial liquidity parameters of the automated reserve. The following parameters should be configured:
Initial ETH and Token Inventory Amounts
Initial Token Price
initialPriceToken Price Range
Maximum Buy and Maximum Sell Amount in a Trade
Fee Percentage
About Token Price Range
Unlike other AMM models that support unbounded price ranges, the reserve manager can specify the minium and maximum bounds that the reserve will fluctuate within. The limits on these bounds are dependent on the inventory amounts.
For example, a reserve manager can specify a maximum tolerance of 50% decrease and 100% increase relative to the initial token price. This is the default setting unless otherwise configured.
Configuring liquidity parameters
Setting the liquidity parameters is done by executing the setLiquidityParameters() function from the LiquidityConversionRates contract.
In the same ./deployment/apr directory, open liquidity_settings.json. If you have completed step 2,the reserve field should have reflect the deployed reserve address.
{
"reserve": "0xcF76b605484Cd4bD46237c05B7De98d538ff44AE",
"tokenPriceInEth": 0.00153086,
"minAllowablePrice": 0.5,
"maxAllowablePrice": 2,
"maxTxBuyAmtEth": 10,
"maxTxSellAmtEth": 10,
"feePercent": 0.05
}We explain the JSON fields in the table below:
reserve
Yes
Reserve address
tokenPriceInEth
Yes
Desired token price in ETH. For mainnet deployment, the script will fetch the latest price from CoinGecko. This behaviour can be disabled by passing a flag to the script.
minAllowablePrice
No
Maximum price decrease tolerable. Reserve returns 0 rate if price decreases further. Eg. 0.5 = 50% decrease in price
maxAllowablePrice
No
Maximum price increase tolerable. Reserve returns 0 rate if price increases further. Eg. 2.0 = 100% increase in price
maxTxBuyAmtEth
No
The maximum amount in ETH purchaseable in a single trade
maxTxSellAmtEth
No
The maximum token amount (specify in ETH) sellable in a single trade
feePercent
No
The fee amount that should be factored into the price.
Setting liquidity parameters
Things to note
The correct network is specified (develop, ropsten, kovan, mainnet etc.)
The reserve has the desired ETH and token inventories, as the script will read the reserve's balances to calculate the right settings
Should the script throw some warnings, it is best to clarify these warnings with the Kyber team before proceeding to call
setLiquidityParams.If there are no warnings generated, and the private key specified in the
.envfile corresponds to the pricing operator, the script will automatically send a transaction to callsetLiquidityParams.
Testnets
yarn hardhat setLiquidityParams --network ropsten --a falseThe -a flag disables the price fetch behaviour.
Mainnet
yarn hardhat setLiquidityParams --network mainnet --r "0xcF76b605484Cd4bD46237c05B7De98d538ff44AE"The -r flag takes the reserve's address from the CLI instead of liquidity_settings.json.
yarn hardhat setLiquidityParams --network mainnetStep 5: Get your reserve authorized and running
Step 5: Get your reserve authorized and runningOnce you have completed the above steps, you can let any network operator know so that they can approve your reserve and list your token to the network. Kyber Network is currently the only network operator.
Once approved, you can test your reserve on KyberSwap Ropsten site! Please note that if there are other reserves listing same swap pair as you, your swap may not get matched with your reserve, because only the reserve that offers best rate will be matched. We can disable other reserves on the testnet to make sure you will swap with your reserve.
Maintaining your APR
This section walks you through the necessary steps involved in case you want to rebalance the APR or withdraw fees collected. You will also need to perform the same activities in the event that:
the reserve is depleted of tokens or ETH;
you want to rebalance your reserve;
you want to withdraw fees from the reserve;
when you want to change any of the liquidity parameters such as maximum buy/sell amount, initial price, etc.
Note : It is highly recommended to follow the steps documented below to avoid incurring any loss of funds
DISABLE trading in the reserve : The alerter can do this by calling
disableTrade()function in the reserve contract.Rebalance the reserve : After and only when the reserve is disabled, the reserve manager can deposit or withdraw Ether/Tokens to the reserve.
Recompute and set liquidity params. Run either
yarn hardhat setLiquidityParams --network mainnetoryarn hardhat setLiquidityParams --network mainnet --r <RESERVE_ADDRESS>.Enabling trading back : The admin can enable trades back by invoking the
enableTrade()function in the reserve contract.
Appendix
Liquidity Params of setLiquidityParams
setLiquidityParamsAbout liquidity rate r
r is liquidity the rate in basis points or units of 100 which the price should move each time the ETH/token inventory changes in 1 ETH worth of quantity. For an r of 0.007, the price will move 0.7% when buying / selling 1 Eth.
About pMin and pMax
With regards to the minimum/maximum supported price factor ratio, it is recommended to start with a ratio of 0.5:2.0. This indicates that the inventory will suffice for up to 100% increase or 50% decrease in token price with respect to ETH.
Relationship between r, initialPrice, E and pMin
The initial token price determined by the pricing algorithm is as follows:
initialPrice = minPrice * e^(r*E) where minPrice = pMin * initialPrice
Rearranging the formula above, you find that r = ln(initialPrice / minPrice) / E) or r = ln(1 / pMin) / E
Hence, since the 4 variables are tightly coupled together, you are only able to determine 3 out of these 4 variables, and use the formula to calculate the fourth. Our recommendation is to determine initialPrice, E and pMin, then calculate r using the above formula.
Graphical Illustration of Price adjustments
A quick overview of how price adjusts for a given price range can be seen below. This illustration uses 0.1, 70, 2 and 0.5 for the intial price, initial ETH amount E, pMax and pMin respectively.

uint
_rInFp
r in formula precision, calculated as r * Fp.
uint
_pMinInFp
Minimum supported price in formula precision, calculated as min price factor * initial price of your token * Fp.
uint
_numFpBits
The formula precision in bits, currently only 40 can be used, which gives precision of 2^40
uint
_maxCapBuyInWei
The allowed quantity for one BUY trade in ETH.
uint
_maxCapSellInWei
The allowed quantity for one SELL trade in ETH.
uint
_feeInBps
The fee amount in basis points that should be calculated in the price.
uint
_maxTokenToEthRateInPrecision
The maximum allowed price taking into consideration the maximum supported price factor. Units are in 10^18.
uint
_minTokenToEthRateInPrecision
The minimum allowed price taking into consideration the minimum supported price factor. Units are in 10^18.
Example
Now, Let's assume we want to list a token with the following considerations:
Liquidity Rate – 0.007 (0.7%)
Initial Token Price – 1 token = 0.00005 ETH
Initial Ether Amount – 100 ETH
Initial Token Amount – 2,000,000 tokens (100 ETH worth)
Minimum (pMin) and Maximum (pMax) Supported Price Factor – 0.5:2.0
Maximum Buy and Maximum Sell Amount in a Trade – 5 ETH max buy and sell cap
Fee Percentage – 0.10%
Below, we will calculate the different parameters.
Price Discovery Algorithm
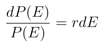
How is the price be set, given a list of trades? Assuming the price (ETH/Token) will be given by P(E) which will be a function of the current ETH reserve size. Then assuming we want a change in the price to be proportional to the amount traded we will have:

where r is the proportion factor. When ∆E is very small we'll have

integration gives
\
Where e^A is the minimal price given by Pmin , so we have

The amount of tokens Tmax that will be sold until reaching Pmax , is related to the maximal price on our platform P(Emax) in the following way

where Emax is given from Pmax itself,

carrying out the integration and plugging in Emax will give:

the initial amount of tokens T0 will be given by calculating Tmax at E0 , which finally gives

similarly, the initial amount of ETH, E 0 , can be deduced from the initial price P 0 as

So given Pmin, Pmax, P0, r we can find E0, T0, Emax.
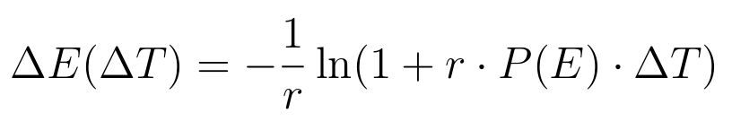
Trading ∆E Ethers
∆E can be positive (increasing the amount of ethers in the reserve and selling tokens to the trader), or negative. Solving the following integral

will give the result for ∆T

Trading ∆T Tokens
∆T can be positive (increasing the amount of tokens in the reserve and selling ethers to the trader), or negative. Integrating the following

and solving with respect to ∆E gives
\


The above figure shows the price function, with relevant parameters. T0 cannot be shown since its the area under 1/P, not the area under P.
Last updated
Was this helpful?